MOS管夾斷與溝道長度調制
實踐工作中,晶體管的溝道長度對特性式有一定的影響,這叫做溝道長度調制。
1.MOS晶體管在非飽和區的行為
下面以NMOS晶體管為例,討論MOS晶體管處于導通狀態時的溝道厚度。圖1.25中,假如源極、漏極的電位都是OV,則VGS=VGD。這時,假如VGS>VT,那么,如圖1. 25 (b)所示,在源區與漏區之間會構成厚度平均的溝道。
假如堅持VGS>VT的狀態,從OV開端增加漏極的電壓,由于柵極-漏極間電壓表示為VGD=VGS-VDS,所以當VDS
VGD>VGS-(VGS-VT)
∴VGD>VT
就是說,加在柵極—漏極間的是大于閾值電壓VT的電壓。
所以當MOS晶體管工作在非飽和區時,柵極-源極間電壓VGS也好,柵極-漏極間電壓VGD也好,都比閾值電壓VT高,所以構成了從源區到漏區的溝道。但是,由于VGD=VGS-VDS,所以VGD比VGS小。那么在漏區左近硅外表感應的電子數目要比源區左近感應的電子數目少。其結果,如圖1. 26所示,漏極左近的溝道厚度就比源區左近溝道的厚度薄。
2.非飽和區與飽和區的分界
假如繼續增加漏極-源極間電壓VDS,以致于VDS=VGS-VT,這時的工作區域相當于非飽和區與飽和區的分界處。由于柵極—漏極間電壓VGD=VGS-VDS=VT,所以柵極-漏極間電壓就與閾值電壓VT相等。就是說,如圖1. 27所示,漏區左近的溝道簡直消逝了,把溝道消逝的狀態稱為夾斷。
繼續再增大漏極—源極間電壓,就變成VDS>VGS-VT,NMOS晶體管就工作在飽和區了。這時,柵極—漏極間電壓VGD=VGS-VDS

3.夾斷時漏極電流是一定值
如圖1.29所示,設溝道端與漏區端之間耗盡層的長度為△L,那么漏極電流可表示為
假如增大漏極—源極間電壓VDS,由于加在耗盡層上的電壓增加了,所以耗盡層長度△L也增加。不過在L比△L大很多的狀況下,式(1.12)中的△L能夠疏忽不計,于是就得到

這時漏極電流ID與漏極—源極間電壓VDS無關,是根本不變的值,關于這個問題可作如下了解。
由于夾斷點的電位總是VGS-VT,所以飽和區溝道的橫向電場E為:
VDS的增加也使耗盡層長度△L延伸。假如溝道長度L比△L大很多,AL能夠忽略不計時,橫向電場F的大小就是:這時就與VDS無關。其結果,即便VDS增加,飽和區中的漏極電流ID也是一定的值。
在非飽和區中不產生夾斷點。由于從源區到漏區都構成溝道,所以漏極—源極間電壓VDS是加在溝道長度L上的。因而溝道中的橫向電場E與VDS成比例地增加:

所以漏極電流ID的增加與VDS成比例。
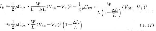
4.溝道長度變短時△L不可無視—一溝道長度調制
假如MOS晶體管的溝道長度L變短,那么式(1.12)中的△L就不可疏忽。隨著VDS的增加,△L也增加,使有效溝道長度(L-△L)變短,因而如圖1. 30所示,漏極電流增加,這叫做溝道長度調制效應。

思索到溝道長度調制,飽和區的漏極電流由下式給出:

△L與VDS的關系親密,假如令式(1.17)中的△L/L=λVDS,就得到該式中的λ叫做溝道長度調制參數,λ越大,表示溝道長度調制效應越強。
為了抑止溝道長度調制效應,有效的方法是增大MOS晶體管的溝道長度L,使λ變小。
式(1.18)中,假如令VDS=-1/λ,則ID=0。